2020MPAcc拟录取名单:东华大学2020年硕士研究生招生考试成绩及拟录取名单
来源:东华大学
人浏览 时间:2020-06-28 17:05:42
会计择校蓝皮书之34所自主划线院校
会计择校蓝皮书之华东地区
会计择校蓝皮书之华北地区
会计择校蓝皮书之东北地区
会计择校蓝皮书之“五财一贸”
会计择校蓝皮书之华南地区
会计择校蓝皮书之西北地区
会计择校蓝皮书之北京院校
2026管理类联考备考大礼包限时领取中...
即日起,点击预约可免费领取限量备考资料大礼包!
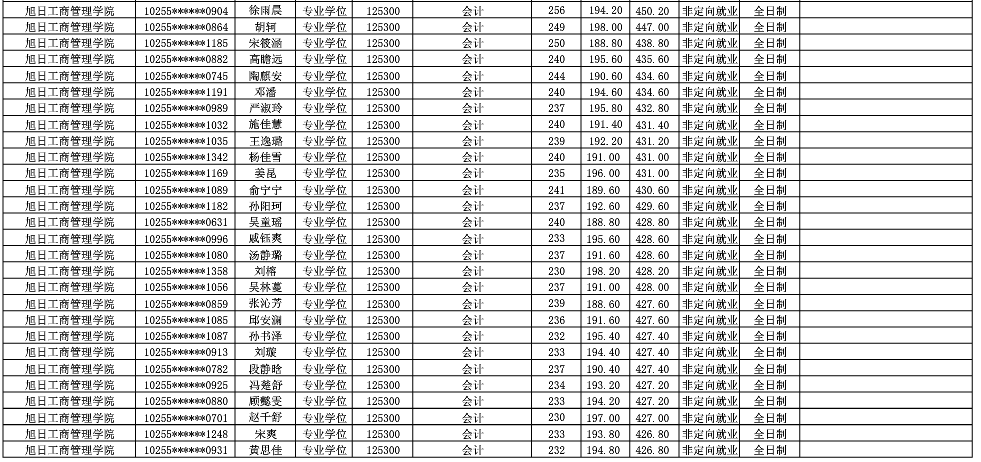
近日,全国各大研究生院校已公布2020研究生拟录取名单。2020年研究生拟录取名单不仅对于2020考研的同学很重要,对于2021考研的同学也很重要。2021考研的小伙伴可以通过2020年拟录取名单分析今年的考情,从而做出最适合自己的考研决策。今天小编就整理了“2020MPAcc拟录取名单:东华大学2020年硕士研究生招生考试成绩及拟录取名单”的相关内容,希望能对大家有所帮助。





原文标题:东华大学公示2020级硕士(全日制)研究生研究生拟录取名单公示
原文链接:http://yjszs.dhu.edu.cn/ae/af/c7128a241327/page.htm
以上就是“2020MPAcc拟录取名单:东华大学2020年硕士研究生招生考试成绩及拟录取名单”的全部内容,更多录取名单相关内容,尽在“录取名单”栏目!
MPAcc择校评估
说明:您只需填写姓名和电话即可免费预约!我们的工作人员会在最短时间内给予您回复。小编推荐
在线题库
院校招生简章
- 12025MPAcc专业目录:青岛农业大学2025年MPAcc硕士研究生招生专业目录
- 22025MPAcc专业目录:山东农业大学2025年MPAcc硕士研究生招生专业目录
- 32025MPAcc招生简章:山东工商学院2025年硕士研究生招生章程
- 42025MPAcc招生简章:青岛大学2025年硕士研究生招生章程
- 52025MPAcc招生简章:山东财经大学2025年硕士研究生招生章程
- 62025MPAcc招生简章:临沂大学商学院2025级硕士研究生招生简章
- 72025MPAcc招生简章:聊城大学2025年会计硕士(MPAcc)招生简章
- 82025MPAcc招生简章:山东师范大学2025年硕士研究生招生章程