2021MPAcc数学备考:实数知识要点
来源:社科赛斯MPAcc备考网 人浏览 时间:2020-07-01 09:19:51
会计择校蓝皮书之34所自主划线院校
会计择校蓝皮书之华东地区
会计择校蓝皮书之华北地区
会计择校蓝皮书之东北地区
会计择校蓝皮书之“五财一贸”
会计择校蓝皮书之华南地区
会计择校蓝皮书之西北地区
会计择校蓝皮书之北京院校
2026管理类联考备考大礼包限时领取中...
即日起,点击预约可免费领取限量备考资料大礼包!
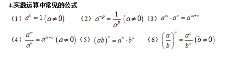
2020年已经过半,想要考研的你是否已经开始了呢?数学作为管综中分值最高的部分,其难度也相对较大,初试想要夺得高分,必须对数学予以重视。社科赛斯MPAcc网小编贴心的为你们整理了“2021MPAcc数学备考:实数知识要点”的内容,希望能够帮助你们攻克数学难关!






以上就是社科赛斯MPAcc网小编整理的“2021MPAcc数学备考:实数知识要点”的全部内容,更多备考干货请持续关注社科赛斯MPAcc备考网!







以上就是社科赛斯MPAcc网小编整理的“2021MPAcc数学备考:实数知识要点”的全部内容,更多备考干货请持续关注社科赛斯MPAcc备考网!
MPAcc择校评估
说明:您只需填写姓名和电话即可免费预约!我们的工作人员会在最短时间内给予您回复。小编推荐

在线题库
院校招生简章
- 12025MPAcc专业目录:青岛农业大学2025年MPAcc硕士研究生招生专业目录
- 22025MPAcc专业目录:山东农业大学2025年MPAcc硕士研究生招生专业目录
- 32025MPAcc招生简章:山东工商学院2025年硕士研究生招生章程
- 42025MPAcc招生简章:青岛大学2025年硕士研究生招生章程
- 52025MPAcc招生简章:山东财经大学2025年硕士研究生招生章程
- 62025MPAcc招生简章:临沂大学商学院2025级硕士研究生招生简章
- 72025MPAcc招生简章:聊城大学2025年会计硕士(MPAcc)招生简章
- 82025MPAcc招生简章:山东师范大学2025年硕士研究生招生章程